Предмет: Геометрия,
автор: vggbklsav479
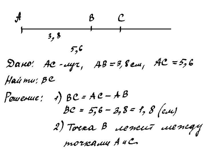
на луче с началом в точке А отмечены B и C найдите отрезок BC если A B равен 3,8 сантиметров а C 5,6 сантиметров Какая из точек лежит между двумя другими
Ответы
Автор ответа:
0
Решение в прикрепленном файле.
Приложения:
Похожие вопросы
Предмет: Русский язык,
автор: Tanya0975
Предмет: География,
автор: elikbatyrbek
Предмет: Физика,
автор: taisiyakrashka
Предмет: Математика,
автор: anna530
Предмет: Математика,
автор: allamolchanova1