Предмет: Алгебра,
автор: louisstyles801
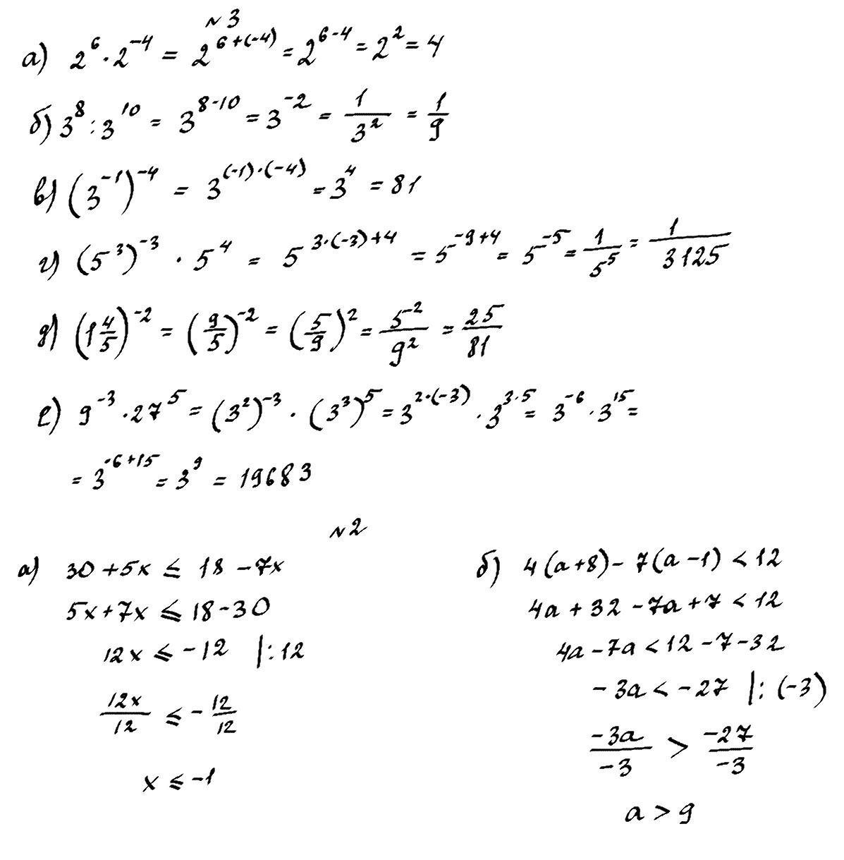
Решить неравенства и вычислить. Грубо говоря, второй и третий пункты
Приложения:
Ответы
Автор ответа:
0
Решение в прикрепленном файле.
Приложения:
Похожие вопросы
Предмет: История,
автор: kadambaevasevincoj
Предмет: Геометрия,
автор: aposum07
Предмет: Українська література,
автор: dolinskayanasta18
Предмет: Математика,
автор: lilgkifsdhkjshgfifeu
Предмет: История,
автор: wegas228