Предмет: Алгебра,
автор: пони58
срочно !!!с решением и обьеснение!!!!
Приложения:
Ответы
Автор ответа:
0
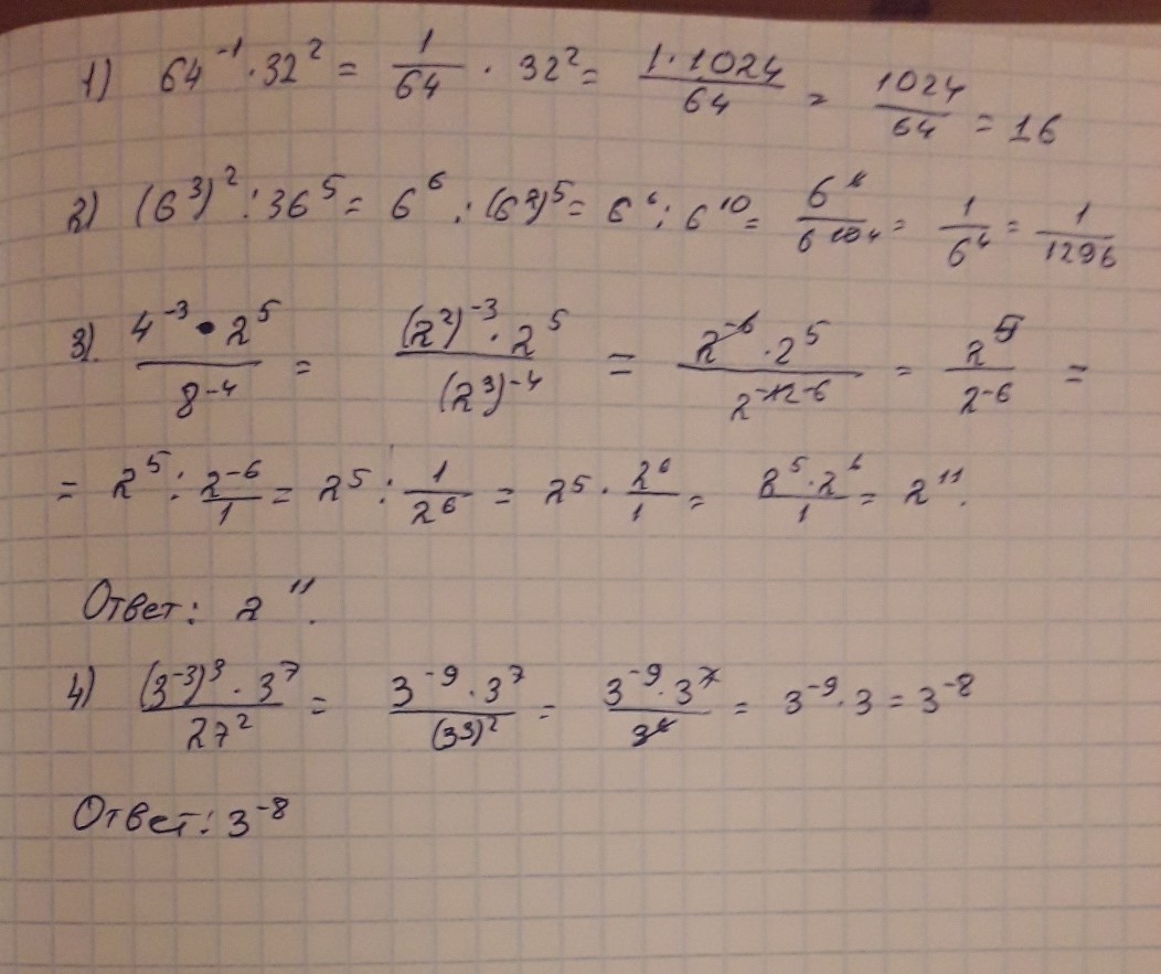
ответ 1) 16 ; 2) 1/1296 ; 3) 2^11 ; 4) 3^-8
Приложения:
Похожие вопросы
Предмет: География,
автор: hokage79
Предмет: Русский язык,
автор: merihacizade2010
Предмет: Українська література,
автор: netovkananatasa
Предмет: География,
автор: алтана4
Предмет: Математика,
автор: Аноним