Предмет: Алгебра,
автор: Alisher345
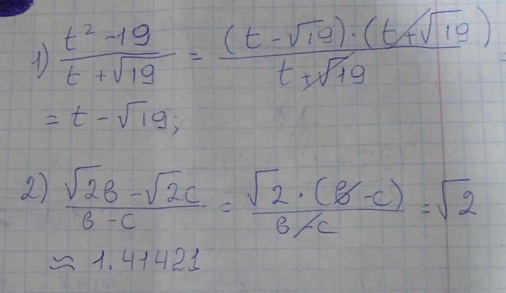
Сократите дробь. 3 и 6.
Приложения:
Ответы
Автор ответа:
0
вот, решила на листке, так как тут не удобно:) держи
Приложения:
Автор ответа:
0
Спс
Автор ответа:
0
всегда пожалуйста :)
Похожие вопросы
Предмет: Математика,
автор: rolnnnny
Предмет: Экономика,
автор: yuldashevmessi
Предмет: Английский язык,
автор: alinkaa2600
Предмет: Биология,
автор: Аноним
Предмет: Математика,
автор: lizaCool11