Предмет: Алгебра,
автор: zabelin567
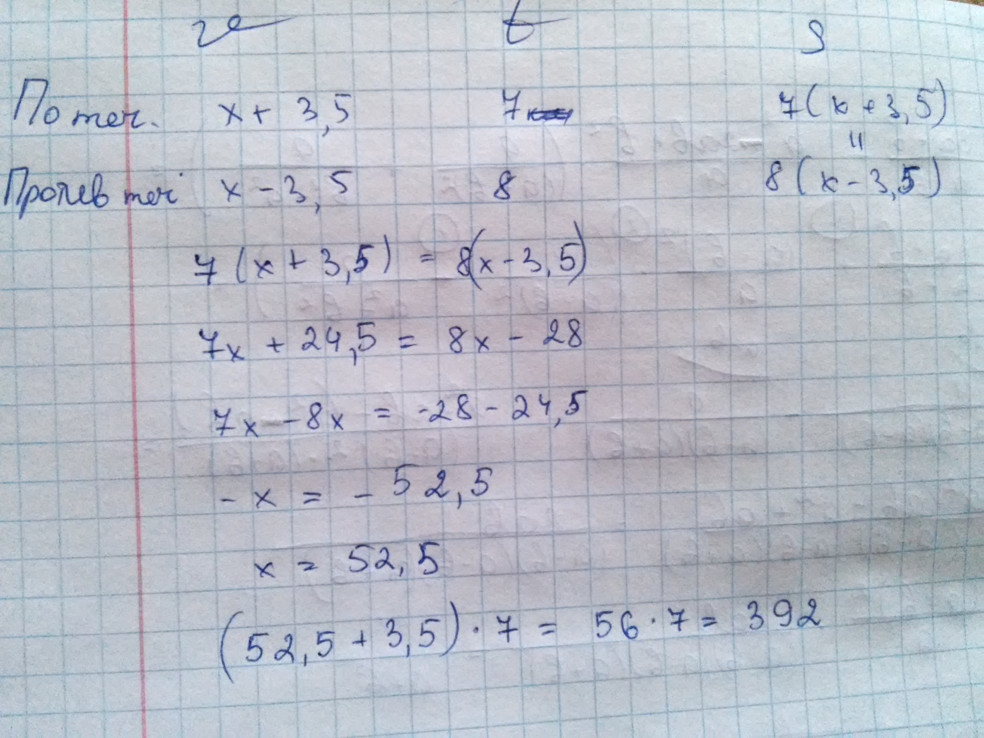
расстояние между двумя пунктами катер прошел по течению реки за 7 часов, а против течения-за 8 часов.Найдите расстояние между этими пунктами, если скорость течения реки 3.5кмч? помогите пожалуйста!!!ОЧЕНЬ НУЖНО!
Ответы
Автор ответа:
0
Вот решение. Наслаждайся.
Приложения:
Похожие вопросы
Предмет: Алгебра,
автор: safikhas267
Предмет: Математика,
автор: kaluznaira179
Предмет: Математика,
автор: barankarina935
Предмет: Литература,
автор: валерия19831
Предмет: Право,
автор: lesiamax