Предмет: Математика,
автор: Laktionovaira
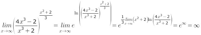
Вычислить предел
Я не могу понять, как такие пределы считать
Наверное, как-то по второму чудесному, но у меня нормальных ответов не выходило.
Очень буду благодарна, если кто-то мне поможет.
Приложения:
Ответы
Автор ответа:
0
Можно представить в виде свойства
Приложения:
Автор ответа:
0
2) ответ бесконечность
Автор ответа:
0
3) 0
Автор ответа:
0
значит 2) решать, как на вашей картинке
Автор ответа:
0
а 3) как делалал я
Автор ответа:
0
только в 3) там 1
Похожие вопросы
Предмет: Русский язык,
автор: avana9891
Предмет: Математика,
автор: solka0000
Предмет: Математика,
автор: shypsylewe
Предмет: Литература,
автор: 371664
Предмет: Литература,
автор: prochiter228