Предмет: Алгебра,
автор: kuanbavssss
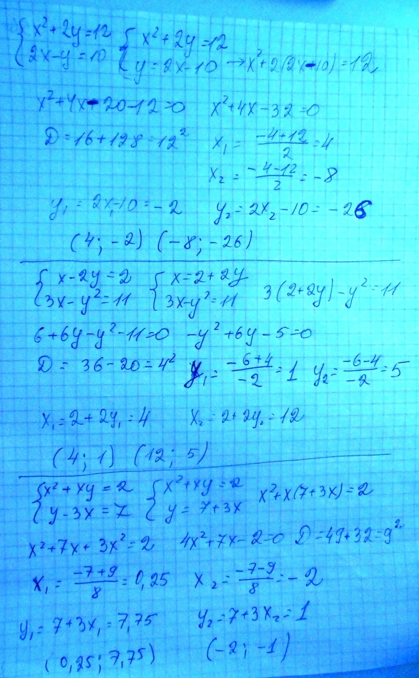
Помогите пожалуйста алгебру ,номер 53, пожааалуйста,срочно)))
Приложения:
Ответы
Автор ответа:
0
!!!!!!!!!!!!!!!!!!!!!!!!!!!!!!!!!!!!
Приложения:
Автор ответа:
0
Спасибо огромное
Автор ответа:
0
пожалуйста, хотя и многовато!!!!!!!!!!!!!!!!!!!!!
Похожие вопросы
Предмет: Қазақ тiлi,
автор: kutepovaksenia030
Предмет: История,
автор: alitealit
Предмет: Алгебра,
автор: temagamestvyt
Предмет: Литература,
автор: katya0760368