Предмет: Математика,
автор: Всезнайка337
1. Решите уравнения:
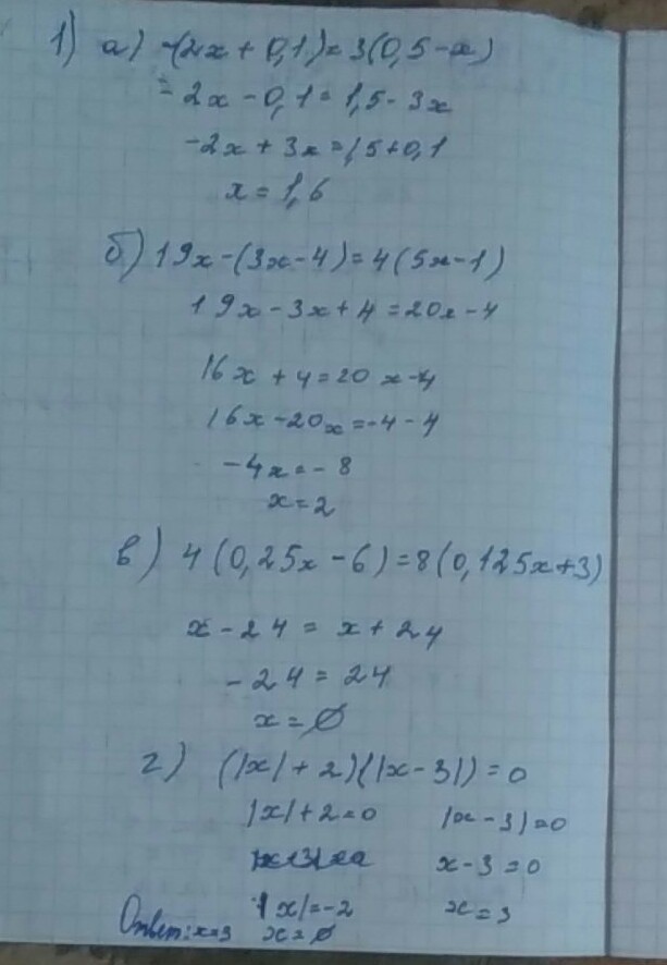
а) -(2х+0,1) = 3(0,5-х)
б) 19х-(3х-4) = 4(5х-1)
в) 4(0,25х-6) = 8(0,125х+3)
г) (|x|+2)(|x-3|) = 0
2.Периметр треугольника АВС равен 38 см. Сторона ВС в два раза больше стороны АВ, а сторона АС на 2 см меньше стороны ВС. Найдите стороны треугольника.
3.В первом бидоне в 5 раз больше молока, чем во втором. После того, как из первого бидона перелили во второй 5 литров, в первом бидоне стало в 3 раза больше молока, чем во втором. Сколько литров молока было в каждом бидоне первоначально?
4.Найдите значение п, при котором имеют общий корень уравнения: 2х-3=7 n-3x=1
Ответы
Автор ответа:
0
вот это правильно точно
Приложения:
Автор ответа:
0
Кто у вас учитель?
Автор ответа:
0
А остальное?
Похожие вопросы
Предмет: Музыка,
автор: Dagavrik
Предмет: Английский язык,
автор: oksana54475
Предмет: Математика,
автор: lilianashevelin
Предмет: Алгебра,
автор: klimenkol21
Предмет: Обществознание,
автор: МВА11