Предмет: Алгебра,
автор: Meow8273738
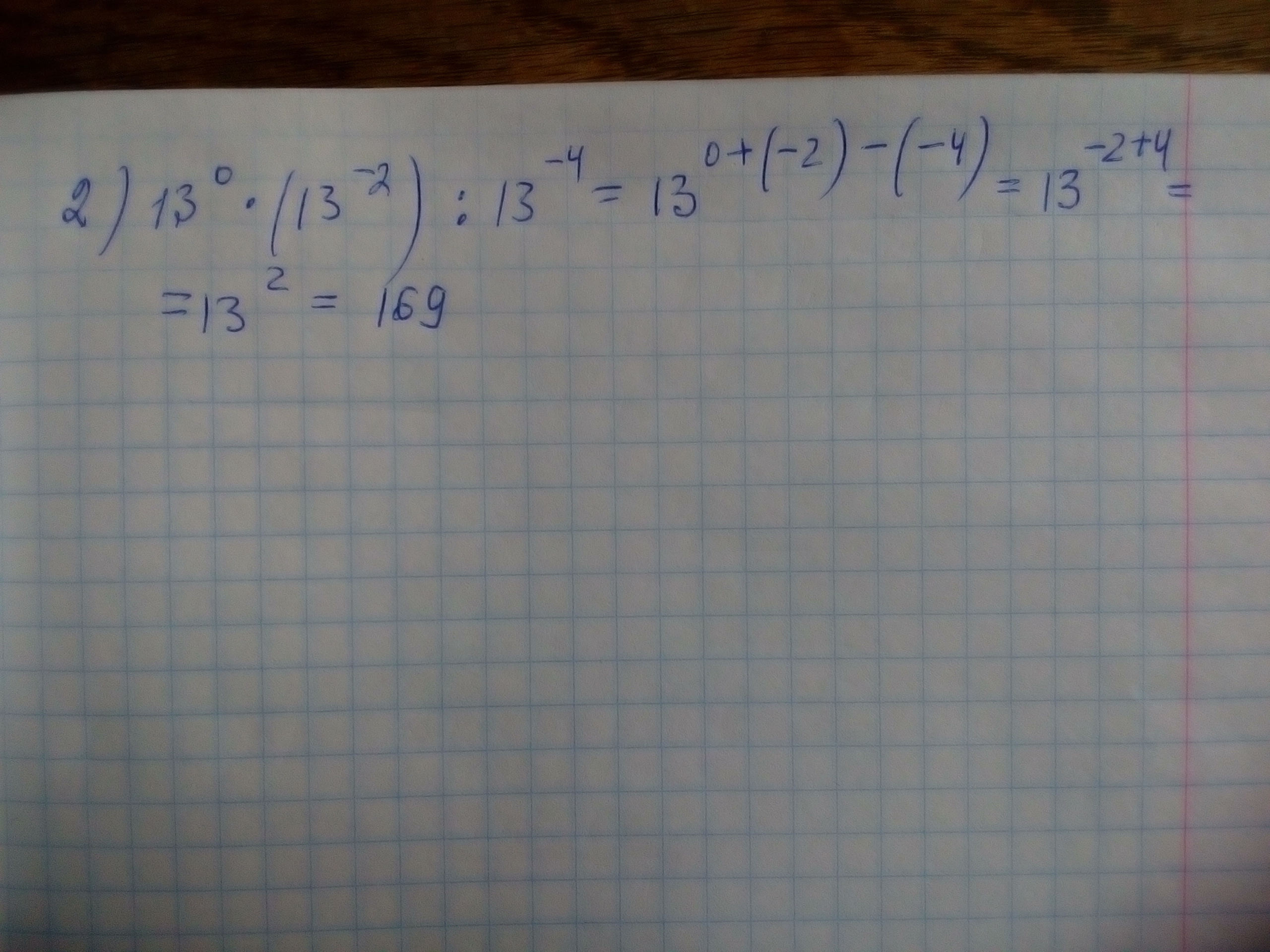
НАЙДИТЕ ЗНАЧЕНИЕ ВЫРАЖЕНИЯ (2)
СРОЧНО
Приложения:
Ответы
Автор ответа:
0
!!!!!!!!!!!!!!!!!!!!...!
Приложения:
Автор ответа:
0
=169................
..
..
Приложения:
Похожие вопросы
Предмет: Математика,
автор: secret1664
Предмет: Литература,
автор: xoappsw
Предмет: Физика,
автор: alexandershehonin
Предмет: Обществознание,
автор: Аноним
Предмет: Экономика,
автор: anzhelatau