Предмет: Математика,
автор: lalka775645
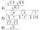
Корень n=ной степени!Решение нужно, найти значение выражения. 25 балоов, спасибо
Приложения:
Ответы
Автор ответа:
0
Решения примеров на картинке.
Приложения:
Похожие вопросы
Предмет: Окружающий мир,
автор: ilasnitko98
Предмет: Английский язык,
автор: Аноним
Предмет: Химия,
автор: pavlikovskayaaaa
Предмет: Математика,
автор: lilil2