Предмет: Физика,
автор: Sova125asd
Помогите по физика срочно
Приложения:
Ответы
Автор ответа:
0
а что надо сделать то
Автор ответа:
0
Там про массу нечего не сказано
Автор ответа:
0
Кинь задачу условия
Автор ответа:
0
Если не понимаешь с это высота ширина
Автор ответа:
0
b ширина а длийна
Автор ответа:
0
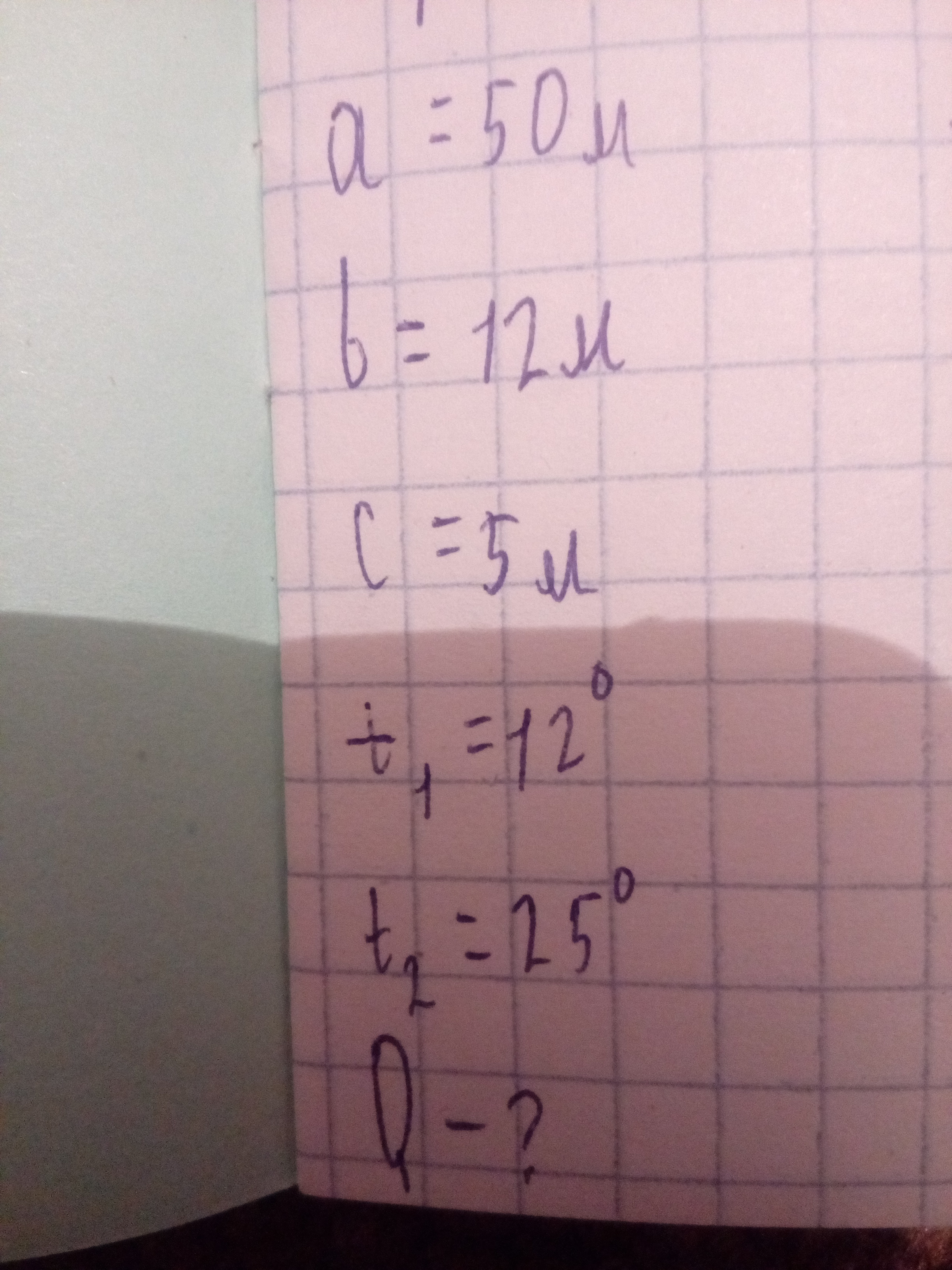
Q=cm(t2-t1)
m=pv
m=50•12
m=600
Q=600(25°-12°)
Q=7800Дж
m=pv
m=50•12
m=600
Q=600(25°-12°)
Q=7800Дж
Автор ответа:
0
Вот вроде так )
Похожие вопросы
Предмет: Математика,
автор: konorovaviktoria8
Предмет: Математика,
автор: shtifrudolf
Предмет: Русский язык,
автор: donskovai028
Предмет: Алгебра,
автор: Voitel1
Предмет: Алгебра,
автор: milordana