Предмет: Алгебра,
автор: klary20
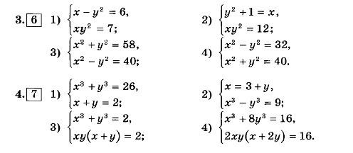
SOS. ПОМОГИТЕ ПОЖАЛУЙСТА. Нужно решить системы уравнений. Хотя-бы немного. УМОЛЯЮ
Приложения:
Ответы
Автор ответа:
0
!!!!!!!!!!!!!!!!!!!!!!!!!!!
Приложения:
Автор ответа:
0
О, Ангел. Спасибо. Сейчас попробую разобраться )
Похожие вопросы
Предмет: История,
автор: dachen08mailru
Предмет: Литература,
автор: pozdeevr143
Предмет: Русский язык,
автор: poliakovand2004
Предмет: Математика,
автор: Valeriay11
Предмет: История,
автор: asya457