Предмет: Алгебра,
автор: sophiexmartinez
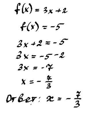
известно, что f (x) 3х+2. найдите значение при котором f(x)=-5
Ответы
Автор ответа:
0
Решение в прикрепленном файле.
Приложения:
Похожие вопросы
Предмет: Алгебра,
автор: eliabor2008
Предмет: Алгебра,
автор: dobriycelovek
Предмет: Қазақ тiлi,
автор: gopchellik
Предмет: Математика,
автор: наталья244