Предмет: Алгебра,
автор: rodaraskol
СРОЧНО!!! Пожалуйста, помогите!
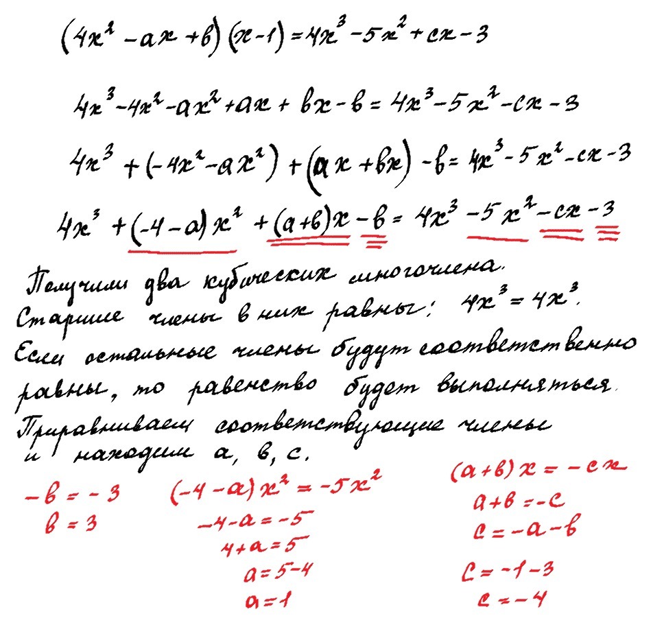
Найдите числа a,b,c из равенства (4x^2 - ax +b)(x - 1) = 4x^3 - 5x^2 + cx - 3
Ответы
Автор ответа:
0
Решение в прикрепленном файле.
Приложения:
Автор ответа:
0
но -4х²-ах² = (-4-а)х² = -(4+а)х²... 4+а = 5... а = 1
Похожие вопросы
Предмет: Математика,
автор: nailyamaturmailru
Предмет: Физика,
автор: Usmas
Предмет: Физика,
автор: doulovaerika26
Предмет: Математика,
автор: kira446