Предмет: Алгебра,
автор: Evangelina94
Помогите с заданием по алгебре 10 класс. Заранее спасибо)
Приложения:
Ответы
Автор ответа:
0
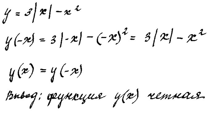
Решение в прикрепленном файле.
Приложения:
Автор ответа:
0
Спасибооо))
Похожие вопросы
Предмет: Литература,
автор: mashnina94
Предмет: Алгебра,
автор: bilyashikko
Предмет: Қазақ тiлi,
автор: maratnraj778
Предмет: Информатика,
автор: karievachulpan