Предмет: Алгебра,
автор: steamsiplex
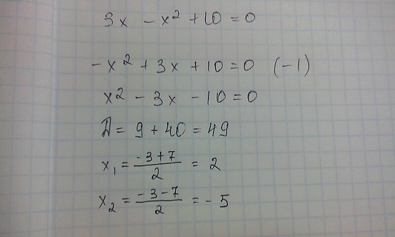
Найдите дискриминант квадратного уравнения 3х-х в квадрате+10=0
Ответы
Автор ответа:
0
3x-x^2+10=0
x^2-3x-10=0
D=9+40=49=7^2
x1=3+7/2=5
x2=-4/2=-2
x^2-3x-10=0
D=9+40=49=7^2
x1=3+7/2=5
x2=-4/2=-2
Автор ответа:
0
49 будет. просто я написала продолжение это 7 в квадрате
Автор ответа:
0
Дискрименант и корни уравнения)
Приложения:
Похожие вопросы
Предмет: Математика,
автор: margosha10174
Предмет: Химия,
автор: gg177135
Предмет: Геометрия,
автор: DianaPlokhuta
Предмет: Обществознание,
автор: TanyaKot