Предмет: Математика,
автор: mikhail31005
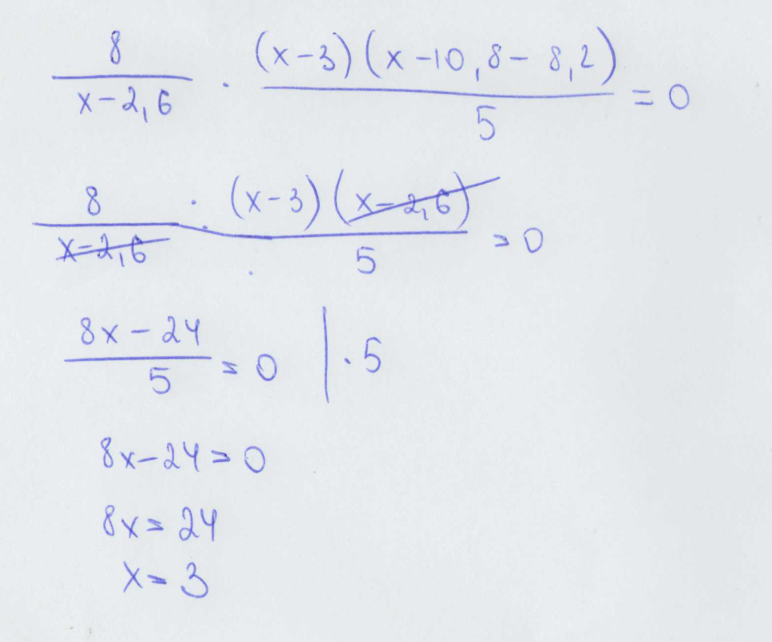
помогите решить уравнение с дробями (8:x-2,6)умножить на((x-3)(x-10,8-8,2):5)= срочно : (двоеточие) -ето дробь а x ето неизвестное пж помогите очень срочно
Ответы
Автор ответа:
0
Ответ на фотографии.........
Приложения:
Автор ответа:
0
спасибо большое
Автор ответа:
0
Пожалуйста
Похожие вопросы
Предмет: Литература,
автор: nikoll6165
Предмет: Химия,
автор: MoveMikhail
Предмет: Биология,
автор: mustfollow0
Предмет: География,
автор: ulianalove23