Предмет: Информатика,
автор: udsb8cy
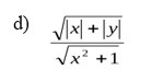
Даны x, y. Составить блок – схему вычисления значения выражения
фото прилагается
помогите,пожалуйста)
Приложения:
Ответы
Автор ответа:
0
#iclude <iosteam>
#include <conio>
#include <math>
using namespace std;
void main(){
float x,y;
cin>>x>>y;
int s;
s=sqrt(abs(x+y))/sqrt(pow(x)+1);
cout<<s;
}
#include <conio>
#include <math>
using namespace std;
void main(){
float x,y;
cin>>x>>y;
int s;
s=sqrt(abs(x+y))/sqrt(pow(x)+1);
cout<<s;
}
Похожие вопросы
Предмет: Литература,
автор: narka26rus
Предмет: Химия,
автор: rosssandraalya
Предмет: Математика,
автор: Аноним
Предмет: Музыка,
автор: ihscb
Предмет: Информатика,
автор: umorist