Предмет: Биология,
автор: Banabanana
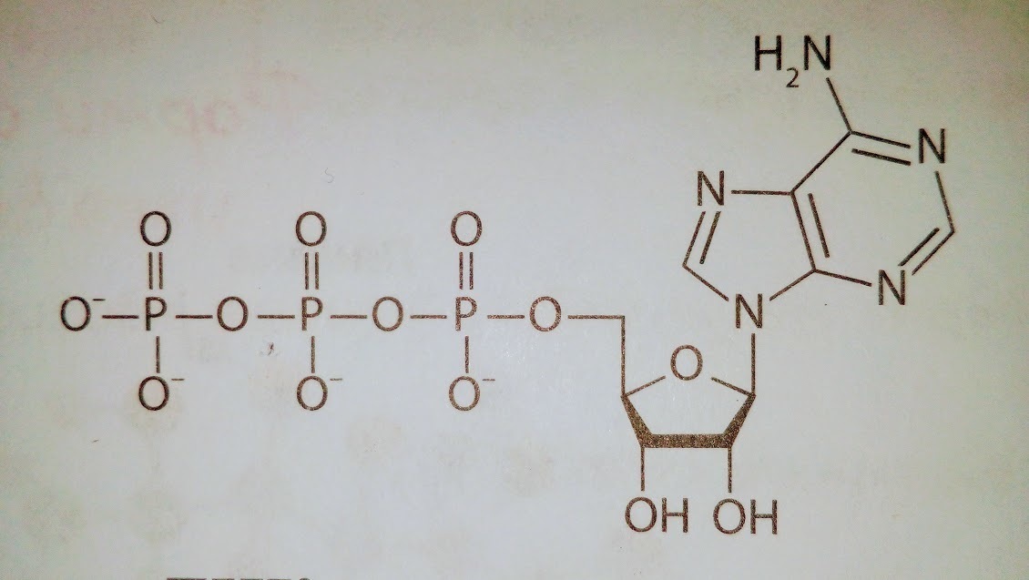
Рассмотрите структурную формулу молекулы, изображенной на рисунке. Объясните, каким образом строение этой молекулы позволяет ей эффективно выполнять свои функции.
Приложения:
Ответы
Автор ответа:
0
На Вашей картинке изображён адезинтрифосфат или сокращённо АТФ. Основная функция АТФ - это обеспечение энергии биохимических реакций в организме. Как вы видите, у молекулы 3 двойные связи
за счёт их разрыва в процессе гидролиза, то есть соединения с водой, связь разрывается и выделяется большое количество энергии.
Ответ: так как в строение данной молекулы входят высокоэнергитеческие двойные связи P=O, которые в результате разрыва выделяют большое количество энергии, что позволяет эффективно обеспечивать энергией биохимические процессы в организме.
Ответ: так как в строение данной молекулы входят высокоэнергитеческие двойные связи P=O, которые в результате разрыва выделяют большое количество энергии, что позволяет эффективно обеспечивать энергией биохимические процессы в организме.
Похожие вопросы
Предмет: Геометрия,
автор: vladikastas1p8tq75
Предмет: Литература,
автор: prozzenyj
Предмет: Русский язык,
автор: aidosaika82
Предмет: История,
автор: Lolalolbalabol
Предмет: Физика,
автор: sergey566