Предмет: Алгебра, автор: хаююю

помогите пожалуйста разобраться

Приложения:

Ответы

Автор ответа: samika2
0
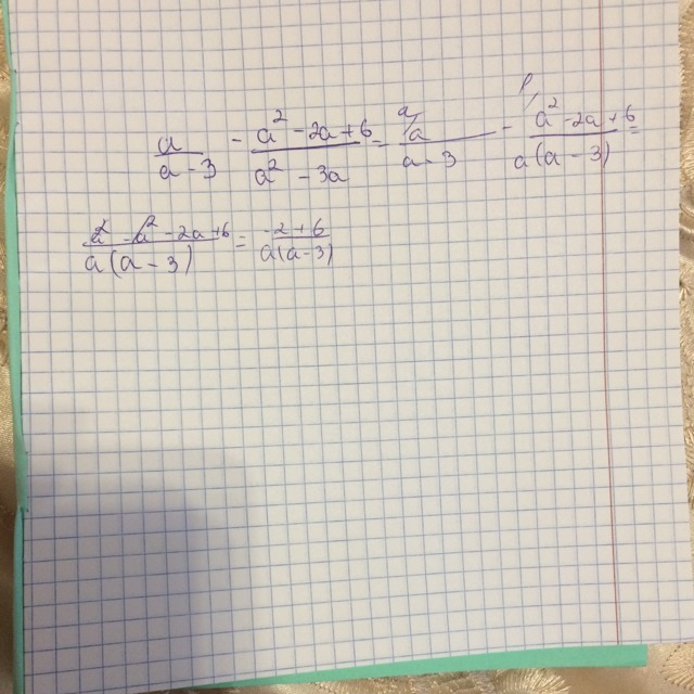
Вот так)Нсли не понятно напиши
Приложения:
Похожие вопросы