Предмет: Алгебра,
автор: Anzcelikagah
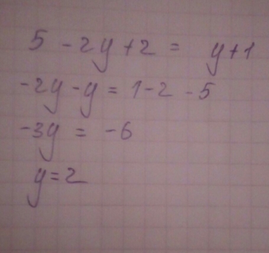
5-2y + 2
------- =
Y+1
Ответы
Автор ответа:
0
На фотке решение, вроде бы так решается
Приложения:
Автор ответа:
0
Ето дробом
Похожие вопросы
Предмет: Химия,
автор: 1111hhggyy
Предмет: Математика,
автор: Аноним
Предмет: Алгебра,
автор: nataliabestaeva92
Предмет: Математика,
автор: даша05012
Предмет: Математика,
автор: violettaklimova1