Предмет: Алгебра,
автор: d1zzzka
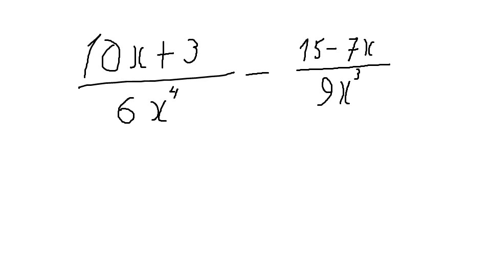
Выполнить вычитание:
Приложения:
Ответы
Автор ответа:
0
смотри решение внизу
Приложения:
Похожие вопросы
Предмет: Русский язык,
автор: nyrgisaimashev00001
Предмет: Литература,
автор: damirtorsin50
Предмет: Геометрия,
автор: Аноним
Предмет: Алгебра,
автор: njhieyjdf
Предмет: Математика,
автор: Vadi1