Предмет: Алгебра,
автор: Rac1346
Помогите с решением, пожалуйста. ДАЮ 15 БАЛЛОВ
Приложения:
Ответы
Автор ответа:
0
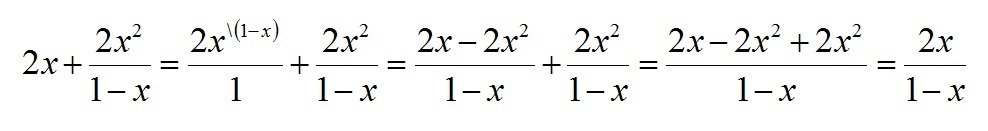
прошу проверить моё решение
Приложения:
Похожие вопросы
Предмет: Химия,
автор: SmileyMusic
Предмет: Физика,
автор: substar
Предмет: Литература,
автор: EVA686551
Предмет: Математика,
автор: ЕваКосмос