Предмет: Алгебра,
автор: Sergey6666666666
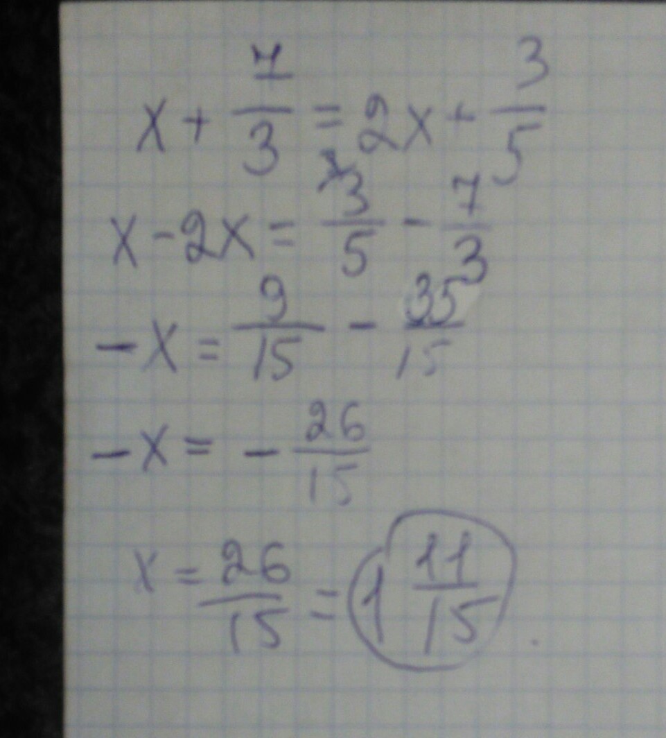
х+7/3=2*х+3/5
с объяснением
Ответы
Автор ответа:
0
сначала все x переносим в левую сторону,а числа в правую.Между ними ставим знак равно.А дальше на фотке!!!
Приложения:
Автор ответа:
0
спасибо
Автор ответа:
0
обращайся
Похожие вопросы
Предмет: Литература,
автор: Dowe38
Предмет: Алгебра,
автор: NakanoNiino
Предмет: Математика,
автор: nikolaeve67
Предмет: Математика,
автор: Алина200002
Предмет: Биология,
автор: ksunu69