Предмет: Алгебра,
автор: Weirdy
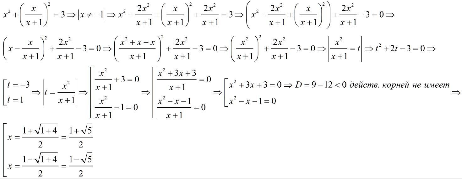
.Решите уравнение 2.125
Приложения:
Ответы
Автор ответа:
0
...........................................................
Приложения:
Похожие вопросы
Предмет: Литература,
автор: artem18032009
Предмет: Немецкий язык,
автор: almaz20040702
Предмет: Українська література,
автор: kirashevernyaeva
Предмет: Алгебра,
автор: linapanfilova
Предмет: Алгебра,
автор: люда77