Предмет: Алгебра,
автор: Elizabetsimmer
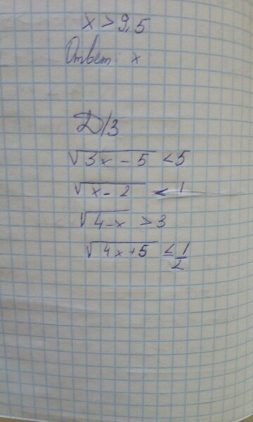
ДАЮ 8 БАЛЛОВ!ПОМОГИТЕ ПОЖАЛУЙСТА РЕШИТЬ!ТОЛЬКО ПОЛНОЕ РЕШЕНИЕ
Приложения:
Ответы
Автор ответа:
0
/////////////////////////////////////////////////////////
Приложения:
Похожие вопросы
Предмет: Физика,
автор: marinakuplyk
Предмет: История,
автор: ihorkhalatskyi
Предмет: История,
автор: majerm972
Предмет: Математика,
автор: podgero003
Предмет: История,
автор: natasorokina83