Предмет: Алгебра,
автор: RinaEgorova02
Сложение и вычитание алгебраических дробей
Приложения:
Ответы
Автор ответа:
0
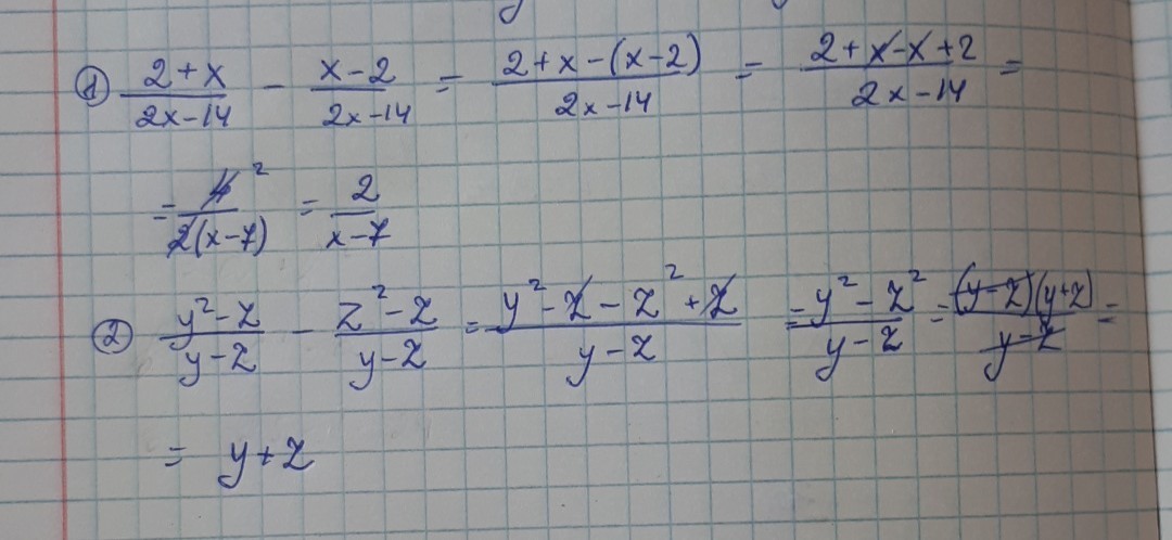
Я думаю, что это надо делать так:
Приложения:
Похожие вопросы
Предмет: Русский язык,
автор: yttornado768
Предмет: Физика,
автор: lintay33
Предмет: Алгебра,
автор: ogoncarenko150
Предмет: География,
автор: BSV2002am
Предмет: Математика,
автор: CatMonster