Предмет: Алгебра,
автор: aleksobuhov350
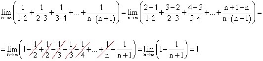
Вычислить предел:

Написать подробное решение
Ответы
Автор ответа:
0
***************************************
Приложения:
Автор ответа:
0
Хорошее решение, спасибо!
Автор ответа:
0
рад помочь
Похожие вопросы
Предмет: Математика,
автор: atemofey
Предмет: Литература,
автор: oksanahanova6
Предмет: Математика,
автор: panda1235776657
Предмет: Математика,
автор: baranovavesta
Предмет: Физика,
автор: motriucc