Предмет: Математика,
автор: ильзираильсуровна
помогите пожалуйста!
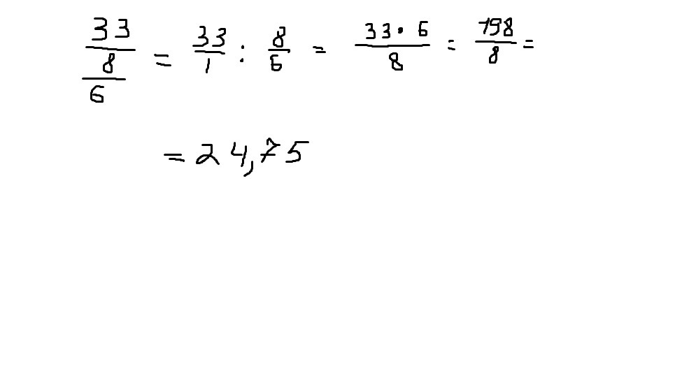
33/8:6=…
расписать полностью
Ответы
Автор ответа:
0
Просто принимаешь 33 как показано на рисунке
Приложения:
Автор ответа:
0
большое спасибо!
Автор ответа:
0
338=4,125
4,125:6=0,6875
Ето все правильно решай на здоров'є
4,125:6=0,6875
Ето все правильно решай на здоров'є
Приложения:
Похожие вопросы
Предмет: Алгебра,
автор: uliatina
Предмет: Математика,
автор: mihalcukgalina83
Предмет: Музыка,
автор: lusadasha541225
Предмет: Обществознание,
автор: mskbor