Предмет: Алгебра,
автор: holmskaja
Уравнение
__________
Приложения:
Ответы
Автор ответа:
0
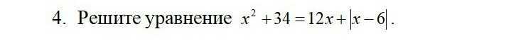
x²+34=12x+|x-6|
x²-12x-|x-6|=-34
x²-12x-(x-6)=-34
x²-13x+40=0
D=169-160=9 = 3²
x=(13+3)/2=8
x2=(13-3)/2=5
x²-12x-(-(x-6))=-34
x²-12x+x-6=-34
x²-11x-6=-34
x²-11x+28=0
D=121-112=9 = 3²
x=(11+3)/2=7
x2=(11-3)/2=4
Ответ: x1=4 , x2=8
x²-12x-|x-6|=-34
x²-12x-(x-6)=-34
x²-13x+40=0
D=169-160=9 = 3²
x=(13+3)/2=8
x2=(13-3)/2=5
x²-12x-(-(x-6))=-34
x²-12x+x-6=-34
x²-11x-6=-34
x²-11x+28=0
D=121-112=9 = 3²
x=(11+3)/2=7
x2=(11-3)/2=4
Ответ: x1=4 , x2=8
Автор ответа:
0
СПАСИБО!
Автор ответа:
0
можете объяснить, почему в ответе именно 4 и 8?
Автор ответа:
0
потому что этот ответ принадлежит области допустимых значений
Автор ответа:
0
x≥ 6 , x < 6
Автор ответа:
0
благодарю
Похожие вопросы
Предмет: Геометрия,
автор: 1SvErUs1
Предмет: История,
автор: dimaliakh07
Предмет: Химия,
автор: simenovavika
Предмет: Биология,
автор: nar1k1337
Предмет: Литература,
автор: апрлллтиимм