Предмет: Алгебра, автор: НиииколайСоболев

Помогите решить!!!!!
СРОЧНО!!!!
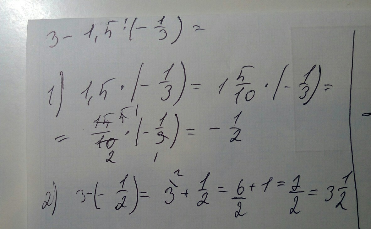
3-1,5*(-1/3)=

Ответы

Автор ответа: vikapoltor
0
ну вот как то так....
Приложения:
Автор ответа: НиииколайСоболев
0
Спасибо
Похожие вопросы
Предмет: Українська мова, автор: nbog37669
ТЕМА: Простий і складний дієслівний присудок. Складний іменний присудок
Завдання №1.
Прочитайте та спишіть речення. Виділіть граматичну основу. Визначте вид присудка в реченнях. Якою частиною мови виступають частини присудка?
Приклад: Настрій у Сашка був сонячним та веселим. Настрій – підмет. Був сонячним (та) веселим – складенний іменний присудок, був – дієслово минулого часу, сонячним (та) веселим – прикметники.
1. Галина здавалася неперевершеною у своїй блакитній сукні з польовими квітами в руках. 2. Він давно мав намір відвідати ці місця, пов’язані з гіркими спогадами. 3. Ганна хотіла зупинитися біля тину, проте раптом вирішила йти далі. 4. Вода в озері була чистою та прозорою, наче небесний кришталь. 5. Він був першим, хто спромігся подолати шлях поневірянь і болю після страшної трагедії. 6. Марічка стала дорослішою і сміливішою після нашої останньої зустрічі. 7. Катрусина тітка була пекарем. 8. Дмитрик з малою сестричкою бажали лишитися біля хворої неньки. 9. Вона понад усе любила співати народні пісні та розповідати казки дітям.
Завдання №2.
З-поміж поданих прислів’їв виписати тільки ті, що містять складений дієслівний присудок.У кожному з виписаних речень виділити граматичну основу.
1) Робота не дає журитися. 2) Осляча голова мусить думати не менше за конячу. 3) Коли віз поламався, почали дорогу показувати. 4) Після діла й погуляти можна. 5) Цей пороху не дасть упасти. 6) Віника не переламавши, дерево можеш зламати. 7) За таку роботу кашу будеш їсти шилом. 8) Як ти хочеш троянди зривати, на колючки не маєш зважати.
Завдання №3.
Записати речення. В кожному з речень визначити присудки. Вкажіть, чим вони виражені. Вказати присудки прості й складені.
Гетьмана Хмельницького історики цілком можуть поставити в один ряд із найвизначнішими полководцями середньовічної Європи. У боях він демонстрував блискавичність дій Олександра Македонського, ганнібальську точність розрахунку й наполеонівське вміння скористатися з прорахунків противника. Нас не може не вражати його вміння вчасно обрати момент для наступу. Водночас увагу привертає тверезість оцінки гетьманом становища.
помогите пожалуйста.
Предмет: Информатика, автор: LolaJola
Предмет: Литература, автор: doruro31