Предмет: Алгебра,
автор: Danilka2303
помогите очень надо!!!!!!!!!!!!!
Приложения:
Ответы
Автор ответа:
0
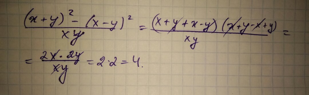
ответ на фотоооооооооооооооо
Приложения:
Похожие вопросы
Предмет: Математика,
автор: alexbeta57
Предмет: Алгебра,
автор: Niftynix
Предмет: Алгебра,
автор: Аноним
Предмет: Математика,
автор: Djvove
Предмет: Литература,
автор: epeyzy