Предмет: Алгебра, автор: Аноним

Во вложениях задания. 

Приложения:

Ответы

Автор ответа: Гоша68
0
решение в файле............................
Приложения:
Автор ответа: МудрыйЕвреюшка
0
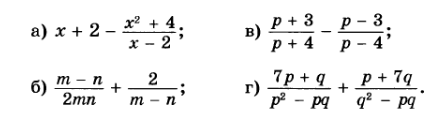
1) x+2- (x^2+4)/(x-2)=((x+2)(x-2)-x^2-4)/(x-2)=(x^2-4-x^2-4)/(x-2)=-8/(x-2)
2) (m-n)/(2mn)+2/(m-n)=((m-n)^2+4mn)/(2mn(m-n))=(m+b)^2/(2mn(m-n)) - возможно опечатка, не сокращается
3) (p+3)/(p+4)-(p-3)/(p-4)=((p+3)(p-4)-(p-3)(p+4))/(p-4)(p+4)=(p^2-p-12-p^2-p+12)/((p-4)(p+4))=-2p/((p-4)(p+4))
4) (7p+q)/(p^2-pq)+(p+7q)/(p^2-pq)=(7pq+q^2-p^2-pq)/(pq(p-q))=(q^2-p^2)/(pq(p-q))=-(p+q)/(pq)
Приложения:
Похожие вопросы
Предмет: Қазақ тiлi, автор: gulsezim55
Предмет: История, автор: NStein777

1. В ходе дворцовых переворотов: а) происходила смена правящих династий б) при помощи оружия происходила смена правителей в) Верховный тайный совет приглашал нового правителя г) в стране происходили волнения крестьян и городского населения 2. Елизавета Петровна оказалась на российском престоле: а) по завещанию Петра I б) в ходе выборов на Земском собрании в) по завещанию Анны Иоанновны г) в результате дворцового переворота 3. Основной источник пополнения рабочей силы на мануфактурах: а) иностранные рабочие б) разорившиеся крестьяне и ремесленники в) покупка крестьян к мануфактурам и приписка государственных крестьян к заводам г) отпуск помещиками крепостных крестьян на заработки 4. Крупнейшее сражение Семилетней войны: а) около Тильзита б) под селением Гросс-Егерсдорф в) под Гельсингфорсом г) около Кенигсберга 5. Главный итог внешней политики России: а) прочное утверждение в Прибалтике б) получение выхода в Черное море в) воссоединение украинских и белорусских земель с Россией г) закрепление России на Кавказе 6. Выберите правильные ответы. Характерные черты эпохи дворцовых переворотов: а) сокращение дворянских привилегий б) борьба за власть различных придворных группировок в) усиление роли дворянской гвардии г) развитие органов местного самоуправления д) коренное изменение системы управления Российским государством е) расширение дворянских привилегий ж) сосредоточение власти в руках царских фаворитов з) усиление крепостного гнета 7. Установите правильное соответствие: 1) Екатерина I а) создание кабинета министров 2) Анна Иоанновна б) лишение Сената его функций 3) Петр III в) создание Верховного тайного совета г) учреждение Канцелярии тайных розыскных дел д) принятие «Манифеста о вольности дворянства» е) роспуск Верховного тайного совета 8. Установите правильное соответствие: 1) Екатерина I а) А. Г. Разумовский 2) Анна Иоанновна б) И. А. Долгорукий 3) Петр II в) Э. И. Бирон 4) Елизавета Петровна г) А. Д. Меншиков д) П. И. Шувалов 9. Восстановите последовательность событий: а) война за польское наследство б) царствование Петра III в) попытка ограничить власть российского монарха г) деятельность на посту первого министра А. Д. Меншикова д) воцарение Елизаветы Петровны 10. О ком идет речь? «Почти сразу после рождения потерял мать, в малолетстве остался без отца и занял отцовский голштинский престол. До принятия православия его звали Карл Петр Ульрих. Судьба распорядилась так, что мальчик со слабым здоровьем и со способностями ниже среднего мог претендовать сразу на два трона — российский и шведский». 11. О чем идет речь? 1. Все находящиеся в разных наших службах дворяне могут оную продолжать сколь долго пожелают и их состояние им дозволит... ...7. Хотя сим нашим всемилостивейшим узаконением все благородные российские дворяне... на­всегда вольностию пользоваться будут, но наше к ним отеческое попечение еще дальше простирается...» 12. По какому принципу образован ряд? А. Д. Меншиков, канцлер Г. И. Головин, архиепископ Феофан Прокопович, П. А. Толстой, П. И. Ягужинский 13. Что является лишним в ряду? Фавориты и доверенные лица в период правления Елизаветы Петровны: А. Г. Разумовский, М. И. Воронцов, П. И. Шувалов, Д. М. Голицын, А. П. Бестужев-Рюмин