Предмет: Математика,
автор: Elumi123
Помогите решить, пожалуйста!!!
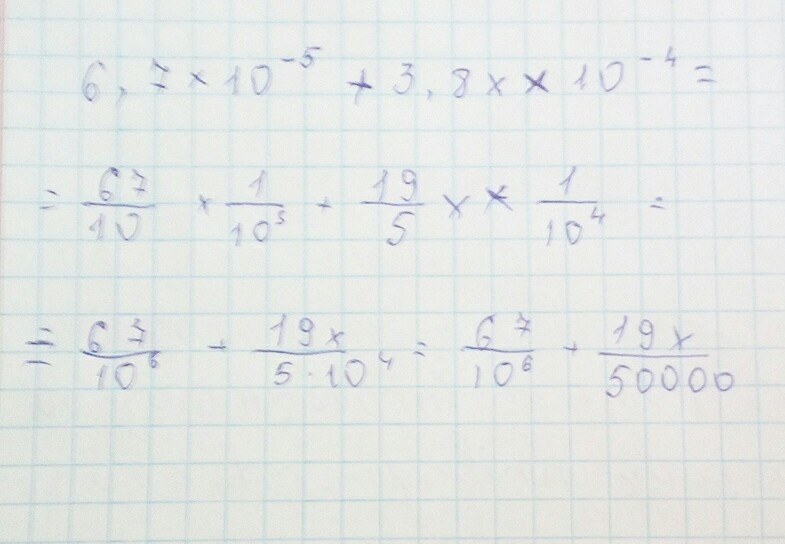
6,7 х 10 в степени -5 + 3,8 х 10 в степени -4=?
Ответы
Автор ответа:
0
67/10^6+19/5×10^4=67/10^6+19/50000
Приложения:
Автор ответа:
0
Там в начале же есть)
Автор ответа:
0
в исходном примере нет икса
Автор ответа:
0
х - это умножить
Автор ответа:
0
Аа да извини, это оказывается умножение
Автор ответа:
0
Ок щас сделаю)
Похожие вопросы
Предмет: Физика,
автор: sasha7419
Предмет: Математика,
автор: SweetLieJ
Предмет: Информатика,
автор: saulekim70
Предмет: Алгебра,
автор: toshatelin