Предмет: Математика,
автор: sesadiz
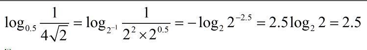
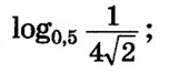
Решите 1 пример по матану за 35 баллов
Приложения:
Ответы
Автор ответа:
0
,,,,,,,,,,,,,,,,,,,,,,,,,,,,,,,,,,,,,,,,,,,,,,,,,,,,,,,,,,,,,,,,,,,,,,,,,,,,,,,,,,,,,,,,,,,,,,,,,,,.
Приложения:
Похожие вопросы
Предмет: Математика,
автор: akramabdullaevv2000
Предмет: Русский язык,
автор: rediskass
Предмет: География,
автор: qwerty109qwerty109
Предмет: Математика,
автор: Эльмар007
Предмет: История,
автор: tinazlatovskaya