Предмет: Алгебра,
автор: simnastiya1314
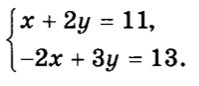
РЕШИТЕ СИСТЕМУ УРАВНЕНИЯ. ОЧЕНЬ НУЖНО!!!!! ПАЖАЛУЙСТА ПОМОГИТЕ!!!!! ЗАВТРА СДАВАТЬ!!!!! БУДУ ОЧЕНЬ БЛАГОДАРНА!!!! :)
Приложения:
Ответы
Автор ответа:
0
x=11-2y. подставляем во 2 уравнение: -2*(11-2y)+3y=13; -22+4y+3y=13; 4y+3y=13+22; 7y=35; y=35/7=5. x=11-2*5=1. Ответ:(1:5).
Похожие вопросы
Предмет: Математика,
автор: korolbalagur
Предмет: Физика,
автор: openmindless
Предмет: Математика,
автор: ss300b68
Предмет: Алгебра,
автор: Yulka15ten
Предмет: Математика,
автор: vel3o