Предмет: Русский язык,
автор: марат159
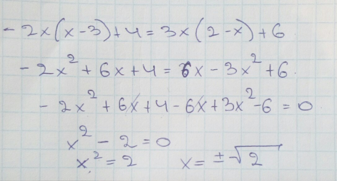
-2x(x-3)+4=3x(2-x)+6
Ответы
Автор ответа:
0
решение на фотографии.
Приложения:
Автор ответа:
0
не благодари ))))))))))))))))))))))))))))))
Приложения:
Похожие вопросы
Предмет: Математика,
автор: sofiprincesska
Предмет: Геометрия,
автор: Julia45788
Предмет: Окружающий мир,
автор: kozlovzevvalera19699
Предмет: История,
автор: Skksdiffigf
Предмет: Русский язык,
автор: Lalochka123