Предмет: Математика,
автор: KirillH13
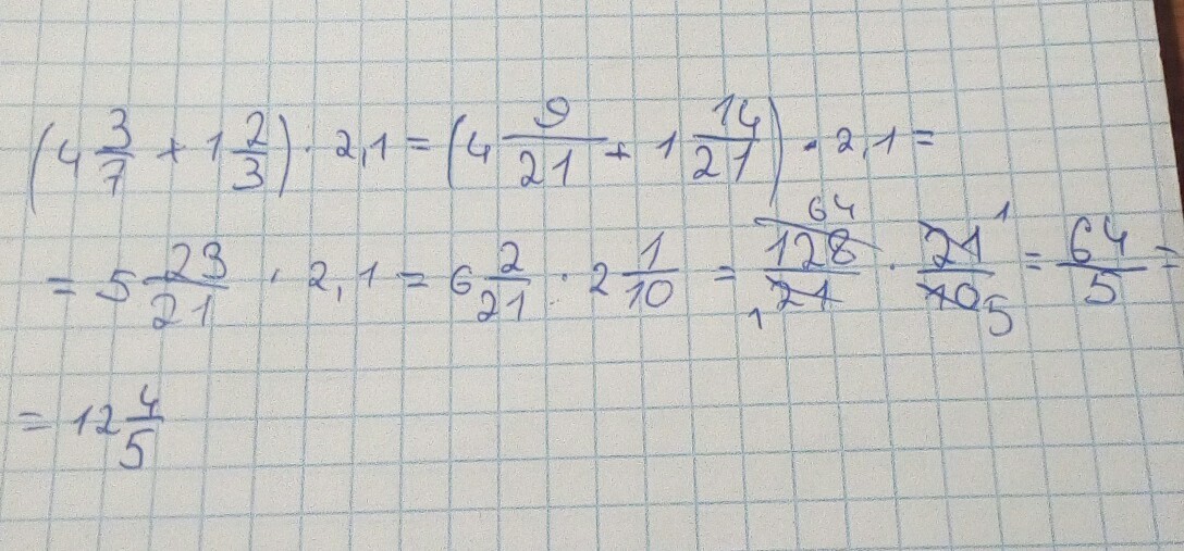
(4 3/7 + 1 2/3)*2,1 Помогите:
Ответы
Автор ответа:
0
вроде все правильно :3
Приложения:
Похожие вопросы
Предмет: Английский язык,
автор: creativemaryart
Предмет: Русский язык,
автор: aleksejsnezkov73
Предмет: Физика,
автор: Аноним
Предмет: Литература,
автор: mustafaeva2002