Предмет: Алгебра,
автор: ЛизаКтиторова
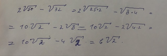
упростите 2√50 -√32
Заранее спасибо!
Ответы
Автор ответа:
0
см фото....................
Приложения:
Похожие вопросы
Предмет: Окружающий мир,
автор: merekeamantai1612
Предмет: Математика,
автор: tordbot
Предмет: Алгебра,
автор: elsukovaanastasia81
Предмет: Химия,
автор: superdaschutka
Предмет: Математика,
автор: astador1