Предмет: Алгебра,
автор: Great666queen
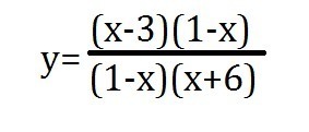
Найдите область определения функции
!Нужно с полным решением!
Приложения:
Ответы
Автор ответа:
0
Т.к. знаменатель не может равняться 0, то
1-x≠0 x+6≠0
x₁≠1 x₂≠-6
Во всех остальных случаях функция существует
⇒D(x)=(-∞;-6)∪(-6;1)∪(1;+∞)
1-x≠0 x+6≠0
x₁≠1 x₂≠-6
Во всех остальных случаях функция существует
⇒D(x)=(-∞;-6)∪(-6;1)∪(1;+∞)
Похожие вопросы
Предмет: Геометрия,
автор: nlisenko664
Предмет: Литература,
автор: Standoff2575
Предмет: Физика,
автор: masxena
Предмет: География,
автор: МиланаКн
Предмет: Алгебра,
автор: darigaded