Предмет: Физика,
автор: kornevanadya0
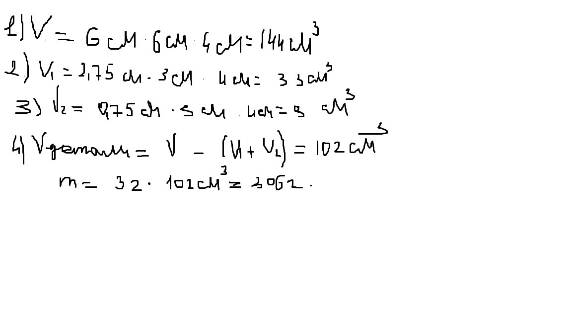
Определите массу детали, чертёж которой приведен на рисунке. Ответ выразите в гг, округлив до целых. Масса 1 см31 см3 детали равна 3 г3 г. Сторона ячейки квадратной сетки составляет 2,5 мм2,5 мм.
Приложения:
Ответы
Автор ответа:
0
Чтобы определить массу детали нужно её объем детали умножить на значение массы в 1см кубическом. Чтобы найти объем детали нахожу для начала полный объем заготовки. Действием №1. Затем поочередно нахожу объемы выемок. Действие 2,3. Далее вычитая из полного объема заготовки вычитаю объем выемок, нахожу объем детали. Действие № 4. Далее дело техники определяю массу детали. Действие 5.
Приложения:
Автор ответа:
0
скажи какой ответ а то я не понял
Автор ответа:
0
306 г
Похожие вопросы
Предмет: Алгебра,
автор: zurkanaeva74
Предмет: Биология,
автор: ggjkl
Предмет: Геометрия,
автор: kamillarahimullina17
Предмет: Математика,
автор: anngel1
Предмет: Физика,
автор: djambaev