Предмет: Физика,
автор: Аноним
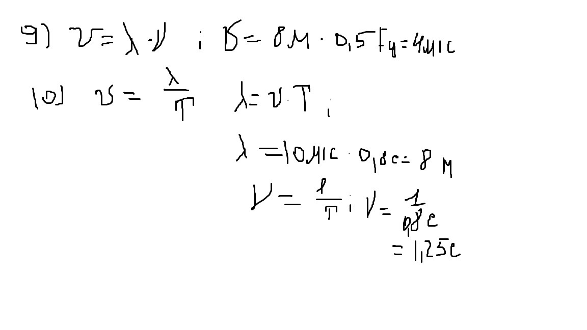
Номер 9 и 10 пж 15 баллов даю
Приложения:
Ответы
Автор ответа:
0
Всё просто, колебания и волны. А баллов не 15 (((
Приложения:
Автор ответа:
0
Да и еще частота там в секунда в минус первой степени
Похожие вопросы
Предмет: Қазақ тiлi,
автор: nurajkuanysbaj644
Предмет: Математика,
автор: kadirhanovashahzoda
Предмет: Алгебра,
автор: akovenkodasa702
Предмет: Физика,
автор: Лериккк
Предмет: Биология,
автор: woebegone