Предмет: Алгебра,
автор: mcvey69
Задание 13. помогите пожалуйста!!!!)))))
Приложения:
Ответы
Автор ответа:
0
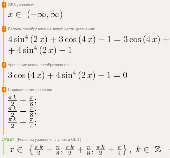
Это тригонометрическое уравнение решается так:
Дальше нужно начертить координатную плоскость с кругом
см рис. 2
Дальше, пройдя по ссылке: http://ege-study.ru/materialy-ege/trigonometricheskij-krug/
смотрим принадлежат ли точки заданному интервалу от п до 3п/2
Дальше нужно начертить координатную плоскость с кругом
см рис. 2
Дальше, пройдя по ссылке: http://ege-study.ru/materialy-ege/trigonometricheskij-krug/
смотрим принадлежат ли точки заданному интервалу от п до 3п/2
Приложения:
Похожие вопросы
Предмет: Математика,
автор: rahatgabit7
Предмет: Алгебра,
автор: hollynesse
Предмет: Математика,
автор: bauyrzanerehanov
Предмет: Математика,
автор: Никитюля
Предмет: Литература,
автор: katp8484