Предмет: Алгебра,
автор: оеькллал
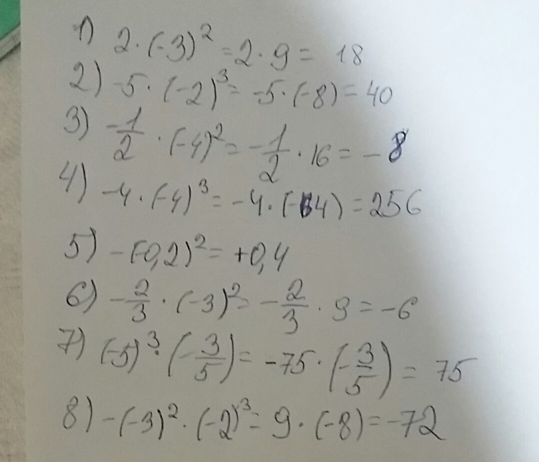
Вычислите: по алгебре помогите пожалуста
Там в 1) -3 в квадрате;2) -2 в кубе;3) в квадрате;4)в кубе5)-0,2 в квадрате;5)в квадрате;6)в квадрате;7)в кубе;8) -3 в квадрате,а -2 в кубе
Приложения:
Ответы
Автор ответа:
0
нормално видно???
обрашайся
обрашайся
Приложения:
Похожие вопросы
Предмет: Қазақ тiлi,
автор: vladsarkin
Предмет: Физика,
автор: Thinkingman2
Предмет: Биология,
автор: danadino009
Предмет: География,
автор: rrrrrrrrrriiiiiik
Предмет: Математика,
автор: барса3