Предмет: Алгебра,
автор: lol1kek2chebyrek
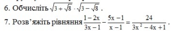
СРОЧНО!!!ХЕЛП!!!!ОТДАМ 35 БАЛЛОВ КТО РЕШИТ
Приложения:
Ответы
Автор ответа:
0
6)0
7)3х_56/7х
вроде так
7)3х_56/7х
вроде так
Автор ответа:
0
а решение есть?
Похожие вопросы
Предмет: Английский язык,
автор: sofiyagrabovan
Предмет: Алгебра,
автор: Lyking
Предмет: Алгебра,
автор: mystreshyde
Предмет: Математика,
автор: дика14
Предмет: Математика,
автор: аннаабрамович