Предмет: Алгебра,
автор: sidki
решите подробно срочно нужно
Приложения:
Ответы
Автор ответа:
0
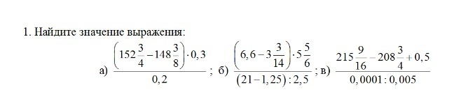
a) 1) (152)3/4 - ( 148)3/8 = (152)6/8 - (148) 3/8 = (4)3/8
2) (4)3/8 * 0,3= 35/8 * 3/10 : 0,2= 6,5625
б) 6,6 - (3)3/14= (6) 3/5 - (3) 3/14 = (6)42/70 - (3)15/70 = (3)27/70
(3)27/70 * (5)5/6 = 237/70 * 35/6 = 79/4
21 - 1,25 = 19,75
19,75 : 2,5 = 7,9
79/4 : 7,9 = 2,5
в) (215)9/16 - (208)3/4= (214)25/16 - (208) 12/16= (6)13/16
(6)13/16 + 0,5= (6)13/16 + 8/16 = (6)21/16 = (7) 5/16
0, 0001 : 0,005= 0,02
(7)5/16 : 0,02= 117/16 : 1/50 = 365,625
2) (4)3/8 * 0,3= 35/8 * 3/10 : 0,2= 6,5625
б) 6,6 - (3)3/14= (6) 3/5 - (3) 3/14 = (6)42/70 - (3)15/70 = (3)27/70
(3)27/70 * (5)5/6 = 237/70 * 35/6 = 79/4
21 - 1,25 = 19,75
19,75 : 2,5 = 7,9
79/4 : 7,9 = 2,5
в) (215)9/16 - (208)3/4= (214)25/16 - (208) 12/16= (6)13/16
(6)13/16 + 0,5= (6)13/16 + 8/16 = (6)21/16 = (7) 5/16
0, 0001 : 0,005= 0,02
(7)5/16 : 0,02= 117/16 : 1/50 = 365,625
Похожие вопросы
Предмет: Информатика,
автор: ajdoskyzyakerke488
Предмет: Физика,
автор: cmiss5832
Предмет: Литература,
автор: ruzviltovnaele50
Предмет: Физика,
автор: dashapanova362
Предмет: Математика,
автор: умница151