Предмет: Алгебра,
автор: vampirvanya
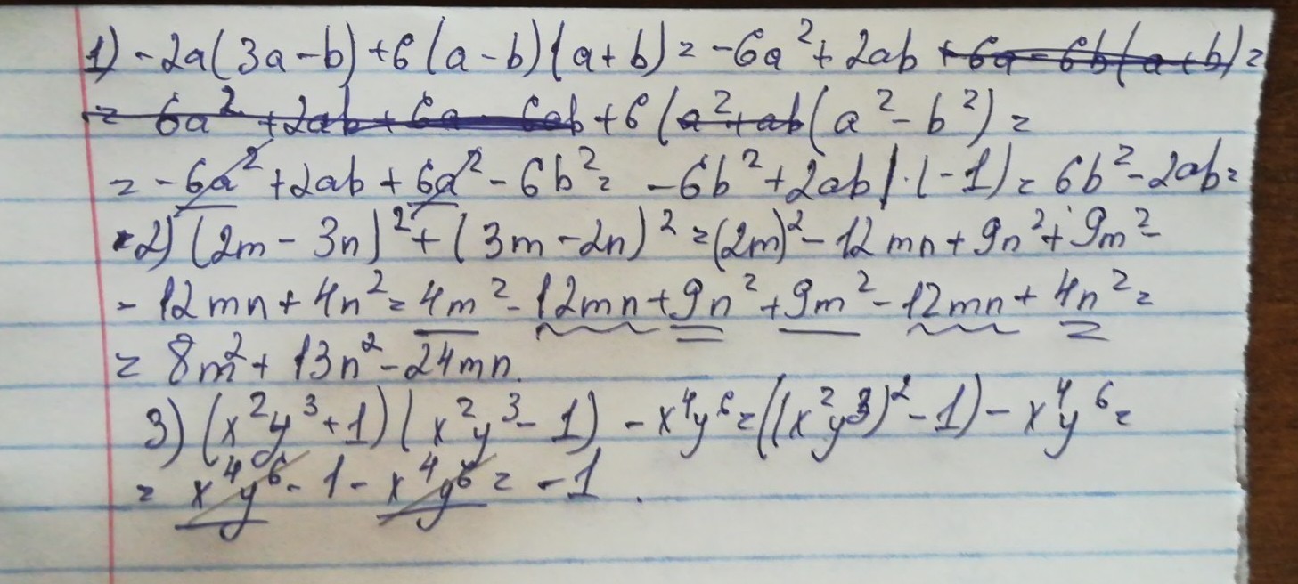
упростите выражение
-2a(3a-b) + 6(a-b)(a+b)
(2m-3n)квадрат +(3m-2n)квадр
(x2y3 + 1)(x2y3-1) -x4y6
в последнем это цифры допустим x в квадрате
помогите умоляю перемена 20 мин
Ответы
Автор ответа:
0
Держи, надеюсь правильно
Приложения:
Автор ответа:
0
спс
Похожие вопросы
Предмет: Алгебра,
автор: quie
Предмет: Алгебра,
автор: Аноним
Предмет: Математика,
автор: vitabro243
Предмет: География,
автор: shoot1008