Предмет: Алгебра,
автор: ahma777
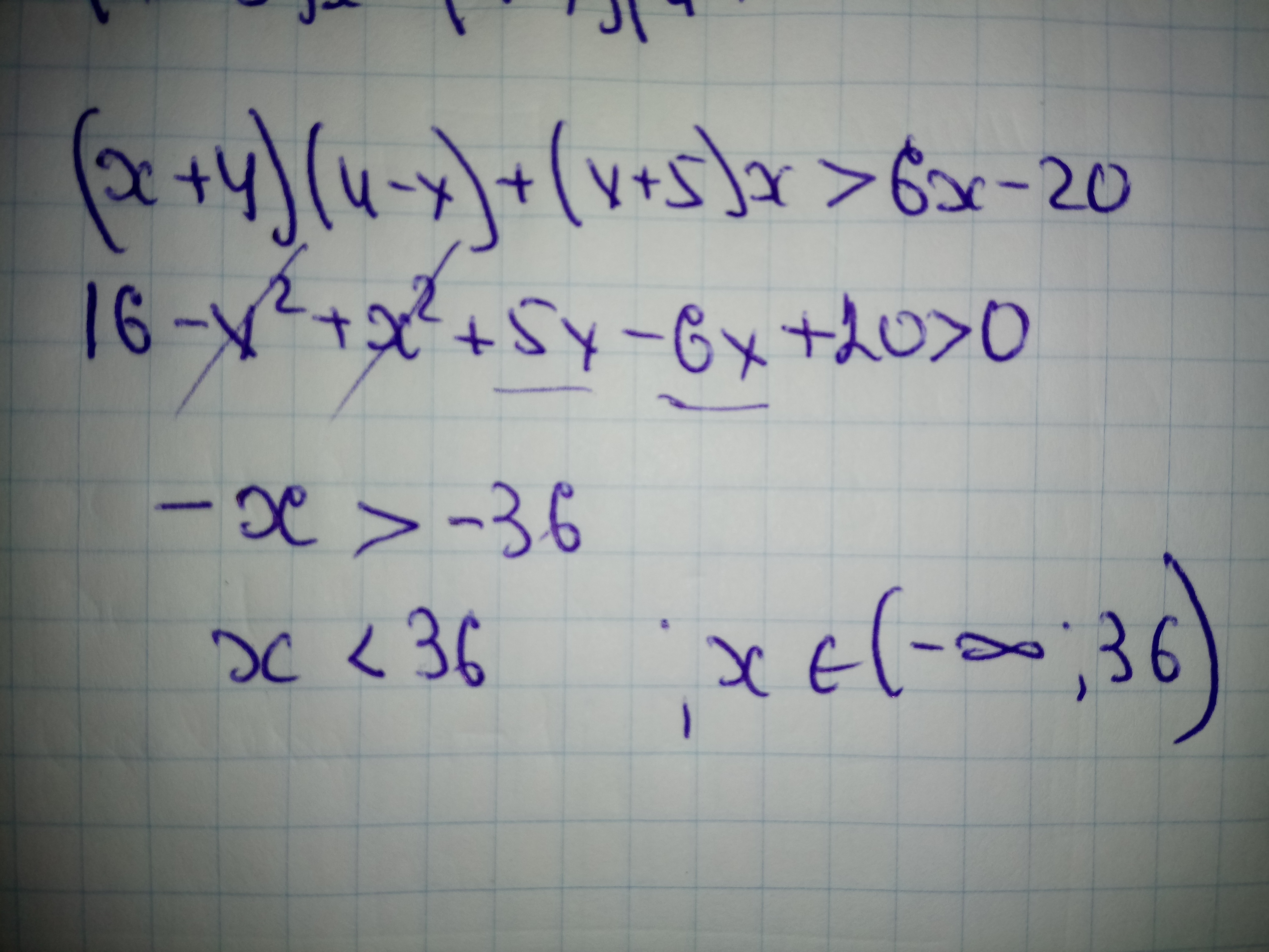
(х+ 4)(4-х)+(х+5)х > 6х-20
Ответы
Автор ответа:
0
Решение задания приложено
Приложения:
Автор ответа:
0
а как нарисовать график
Автор ответа:
0
Необходимо начертить прямую и отметить 36 заштриховать до начала ,показав что ,x<36
Автор ответа:
0
То есть от 36 до начала прямой
Автор ответа:
0
На одной координатной плоскости постройте графики функции и найдите (приблежонно) координаты точек пересечения у=х во второй степени и у=-2х
Похожие вопросы
Предмет: Русский язык,
автор: sasha2921
Предмет: История,
автор: RadislavA7
Предмет: Литература,
автор: DaraEvdokimova
Предмет: Алгебра,
автор: 45yaoi45