Предмет: Математика,
автор: hofff
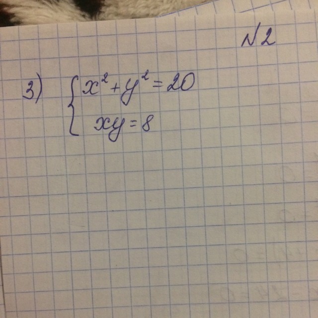
Решить систему уравнений
Приложения:
Ответы
Автор ответа:
0
Применены : биквадратное уравнение, теорема Виета, решение системы способом подстановки
Приложения:
Похожие вопросы
Предмет: Английский язык,
автор: gvtgg56
Предмет: Українська література,
автор: zatkoalena
Предмет: Русский язык,
автор: arinabelousova722
Предмет: Математика,
автор: Elenakotenoc