Предмет: Алгебра,
автор: qwertyvar
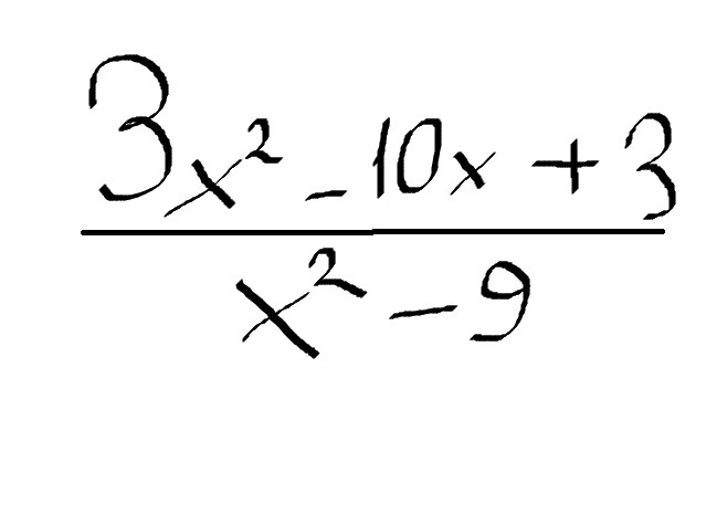
40 БАЛЛОВ! ПОМОГИТЕ СОКРАТИТЬ!
Приложения:
Ответы
Автор ответа:
0
3x^2-10x+3=0; D=(-10)^2-4*3*3=100-36=64; x1=(10-8)/6, x2=(10+8)/6. x1=1/3, x2=3. получаем: 3*(x-1/3)(x-3)/(x-3)(x+3)=(3x-1)(x-3)/(x-3)(x+3)=(3x-1)(x+3).
Автор ответа:
0
спасибо огромное! единственный умный человек.
Автор ответа:
0
пожалуйста . только почему единственный?
Похожие вопросы
Предмет: Русский язык,
автор: zaripovnuriddin606
Предмет: Геометрия,
автор: omelanenkomasa86
Предмет: Математика,
автор: ramomuchacho
Предмет: Математика,
автор: andrsuvorov082
Предмет: Музыка,
автор: класныйниндзя